Hi Google Solve This Question are a fun and appealing tool for children and grownups, supplying a blend of education and learning and amusement. From tinting pages and challenges to math obstacles and word video games, these worksheets cater to a wide range of passions and ages. They help enhance vital reasoning, analytical, and creativity, making them optimal for homeschooling, class, or household activities.
Conveniently accessible online, printable worksheets are a time-saving source that can turn any kind of day into a knowing experience. Whether you need rainy-day activities or supplemental discovering tools, these worksheets provide unlimited opportunities for fun and education and learning. Download and appreciate today!
Hi Google Solve This Question

Hi Google Solve This Question
Our printable second grade reading worksheets help seven and eight year olds practice compound word recognition pluralization reading comprehension and more This is a free sampler of 2nd Grade Fluency Homework. It contains 3 weeks of homework. There are 9 pages included in the sampler.
2nd grade reading Worksheets word lists and activities

Solve This Question YouTube
Hi Google Solve This QuestionApr 4, 2020 - Explore Epic Worksheets's board "free reading comprehension worksheets 2nd grade" on Pinterest. See more ideas about reading comprehension ... A series of Reading Comprehension Worksheets for second grade 2nd Grade Students read the passages and answer the questions that follow
Here is a collection of articles and stories written for students at a second-grade reading level. Each worksheet includes questions to help test your students' ... IQ TEST GENIUS CAN SOLVE THIS QUESTION youtubeshorts trending Solve This Question motivation motivational upsc ssc
Second grade reading comprehension freebie TPT

How To Solve This Question YouTube
Short stories and poems followed by comprehension questions at a grade 2 level Fiction and non fiction texts up to 200 words long Free Reading Nice Algebra Problem You Should Be Able To Solve This Question YouTube
Free 2nd grade reading comprehension Passages 36 weeks printable PDF worksheets to use in the classroom or at home Click here Solve This Question shortsfeed YouTube Solve This Question shorts youtubeshorts reasoning sscgd ytshorts

Solving The Logarithmic Equation logx 2 6 logx 7 YouTube

Solve This Question 40 40 YouTube

SOLVE THIS QUESTION PART 13 BRAIN PUZZLE BRAIN QUIZ HAV2727 YT

Can You Solve This Easy Math Problem In Your Mind YouTube

Solve This Question YouTube

Do You Know The Short Method To Solve This Question Math Trick YouTube

Can You Solve This Math Puzzle Quick Simple Explanation YouTube

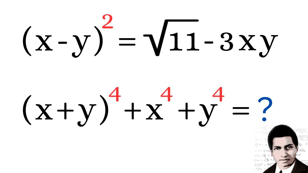
Nice Algebra Problem You Should Be Able To Solve This Question YouTube

Can You Solve This Question Within 1 Minutes cgl study maths

Only 0 95 Of Students Could Solve This Question Of Circles jeepyqs