Delete Remote Git Tag are a fun and appealing tool for youngsters and grownups, providing a mix of education and learning and entertainment. From coloring web pages and problems to math difficulties and word games, these worksheets cater to a wide variety of interests and ages. They assist improve critical reasoning, analytic, and imagination, making them optimal for homeschooling, classrooms, or family members activities.
Easily easily accessible online, printable worksheets are a time-saving resource that can turn any kind of day into an understanding adventure. Whether you need rainy-day activities or additional knowing tools, these worksheets provide limitless opportunities for fun and education and learning. Download and take pleasure in today!
Delete Remote Git Tag

Delete Remote Git Tag
Apply the concepts of money to their personal needs and wants Understand how needs and wants relate to opportunity cost in their everyday decisions Begin to explore the concepts of budgets and spending plans A need is something that you cannot live without i e water food or fuel for warmth A want is something that is a luxury · Liveworksheets transforms your traditional printable worksheets into self-correcting interactive exercises that the students can do online and send to the teacher.
11 Needs Vs Wants Budget Worksheets And Teaching Help

6 Tag
Delete Remote Git TagWANTS Vs. NEEDS. Learning Pack. Included in this pack are color & blackline *large sorting cards (the perfect size for a pocket chart) *single learner sorting pages *writing page for needs *writing page for wants. See this pack in action @ This Reading Mama. Wants vs. Needs Picture Key. Wants: tablet, bike, skateboard, toy card, blocks, By engaging with these worksheets students will not only explore the fundamental differences between needs and wants but also gain practical tools to apply these distinctions in their everyday lives The worksheets are designed to take students
Provide your students with a fun and easy way to learn about what it means to be frugal. This worksheet, geared for use in kindergarten or first grade, helps kids identify needs (things you need) versus wants (things you want). Introduce your kids to. Mastering Functions In CPP A Quick Guide How To Delete Local And Remote Branches In Git LogRocket Blog
Needs And Wants 141527 ThirdGradeTeacher

6 Tag
Our free printable needs and wants worksheets shed just as much light on things that are necessary for survival as they do on non essential things which serve to satisfy our desires Get them to explore exercises such as identifying whether given objects are needs or wants shading needs and wants in different colors and reasoning why an Move Tag Git A Quick Guide To Git Tag Management
Need is something you and your family must have in order to live safe healthy lives You need clothes food shelter medicine and transportation want is something that you or your family spends money on and enjoys but does not need Read each scenario and tell whether each purchase is a need or a want Write the word need Git Git What Are Git Tags And How To Create Remove View And Tagging In Git

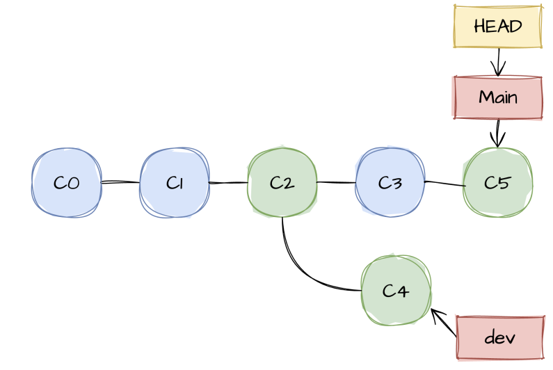
Git Merge Conflict Tag

Git Merge Conflict Tag

How To Delete A Remote Or Local Tag In Git Tim Mouskhelichvili

How To Remove A Git Remote Linuxize

Recovering Git Deleted Files A Quick How To Guide

Recovering Git Deleted Files A Quick How To Guide

Recovering Git Deleted Files A Quick How To Guide

Move Tag Git A Quick Guide To Git Tag Management

Master Git Pull Remote Tags With Ease

How To Delete Tags Locally And Remotely In Git