Rate Of Product Formation are a fun and appealing device for kids and adults, providing a blend of education and learning and amusement. From coloring pages and challenges to math challenges and word games, these worksheets accommodate a large range of interests and ages. They aid enhance essential reasoning, problem-solving, and creativity, making them perfect for homeschooling, class, or family members tasks.
Conveniently available online, printable worksheets are a time-saving source that can turn any kind of day into a knowing experience. Whether you require rainy-day activities or supplementary discovering devices, these worksheets offer limitless possibilities for fun and education. Download and install and delight in today!
Rate Of Product Formation

Rate Of Product Formation
Math Wave pinched hands back and forth in front of face with fingers horizontal Reading Brush index and middle fingers down open left palm repeatedly 2.5 Worksheet Key Part 1 ... 1 view2 minutes ago ...more ... Try YouTube Kids ... An app made just for kids ... Open app ... Kristen Mueller ... 97.
2 5 Worksheet Part 2 Flashcards Quizlet

5 The Dependence Of The Rate Of Product Formation v P From The
Rate Of Product Formation1. Review the three “key aspects” on the worksheet and consider whether you want to establish specific groups based on key aspect, or just have participants ... TRUE WAY ASL Workbook Unit 2 5 Part 1 Student Profiles Watch the signer describe each student profile Fill in the boxes with your answers
*The number and type of measures in each of the above four criteria shall be determined by the college and department/school and stated on this. Michaelis Menten Kinetics The Quasi Steady State Approximation YouTube Using The Steady State Approximation YouTube
2 5 Worksheet Key Part 1 YouTube

SOLVED For Most Reactions That Involve An Enzyme The Rate Of Product
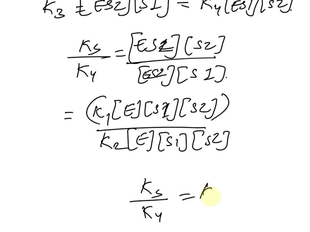
Computer science document from Austin Community College District 11 pages 2 5 Worksheet Part 2 Due Jun 10 at 11 59pm Points 10 Questions SOLVED Problem 3 Derive An Expression For The Rate Of Product
Watch the signer spell a student s name the school they re attending their favorite subject and their major Choose the best answer The Effect Of PH On The Conversion Of ABTS a And The Rate Of Product The Effect Of Type Of Chiral Protic Imidazolium Salt On The Rate Of
Rate Of Product Formation By CYP105D18 And Its Mutant A HPLC

a The Reaction Rate Of Product Formation And b The Degree Of Rate

a The Reaction Rate Of Product Formation And b The Degree Of Rate

a The Reaction Rate Of Product Formation And b The Degree Of Rate

SOLVED Write The Expressions For Specilic Rate Of Product Formation In

Rate Of Product Formation In The Oxidation Of N butane Over A HBN And B

Rate Of Product Formation In The Oxidation Of N butane Over A HBN And B

SOLVED Problem 3 Derive An Expression For The Rate Of Product

SOLVED Enzymes Increase The Rate Of Metabolic Reactions Without Being

PDF A Single Active Site Mutation Of P450BM 3 Dramatically Enhances